MSC Adenau e. V. im ADAC

Ausschreibung |
|
| MVRP - Rheinland Pfalz Meisterschaft Slalom Youngster 2017 |
Veranstalter Jörg Ritter |
![]() |
![]() ![]() ![]() |
Download Ausschreibung

MVRP - Rheinland Pfalz Meisterschaft Slalom Youngster 2017 |
Format | Größe | Bemerkungen |
| Ausschreibung MVRP | 1,5 MB | online |
|
| Ausschreibungsheft Gesamtveranstaltung | 6,5 MB | online |
|
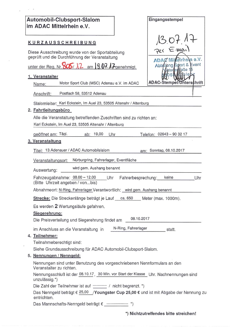
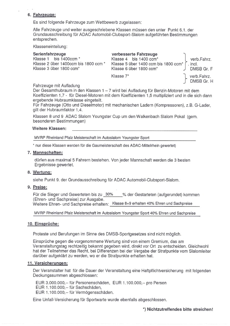
| Genehmigte ADAC Kurzausschreibung | 1,0 MB | online |
|
| Link zur MVRP Seite (hier klicken) | |||
Download ADAC / DMSB Ausschreibungen, Durchführungsbestimmungen












